85 Aktif Üye Sayısı
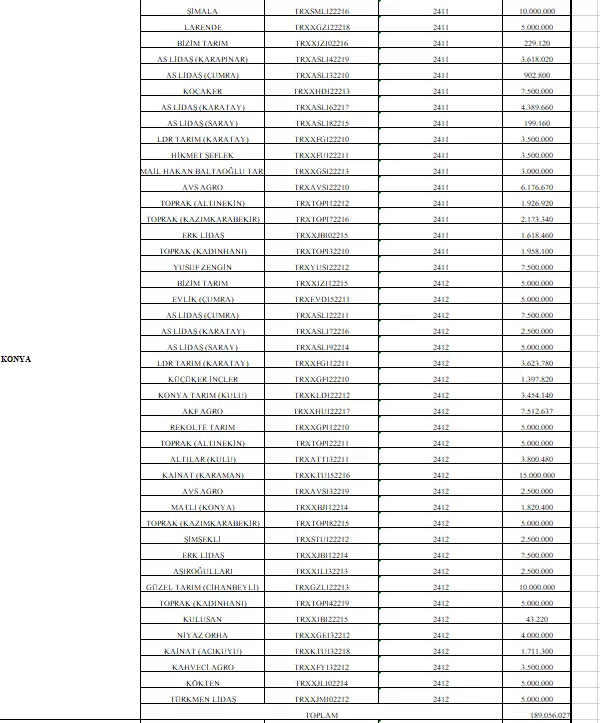
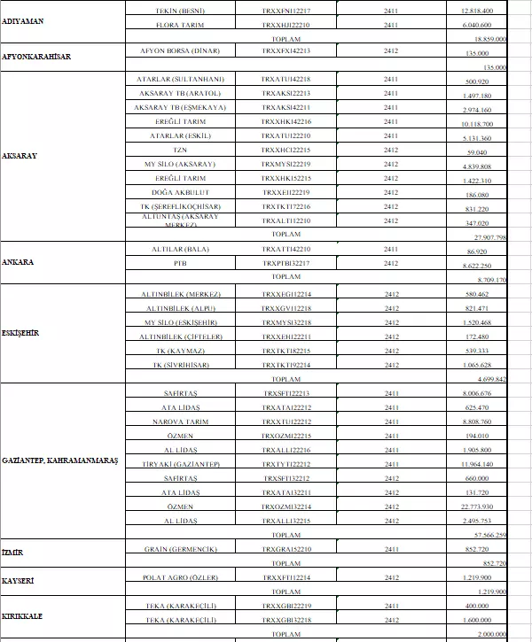
Toprak Mahsullerı Ofısı Genel Müdürlügü Mısır Satışı
03 Temmuz 2023, Pazartesi

Toprak Mahsullerı Ofısı Genel Müdürlügü Mısır Satışı

Sayın üyelerimiz,

T.M.O. stoklarında bulunan mısırlar; kanatlı hayvan besici ve yetiştiricileri, (yumurta ve beyaz et) 24 aydan büyük dişi büyükbaş hayvan yetiştiricileri ile yem fabrikalarına yönelik 4.500-5.250-5.500 TL/Ton (KDV, Borsa ve Maniplasyon Hariç) fiyatla peşin bedel mukabili satılacaktır.

Satış Usul ve Esaslar ek' te yer almaktadır.

Bilgilerinize sunar,

İyi çalışmalar dileriz.

Saygılarımızla.

ILGIN TİCARET BORSASI